크로와상
2024.03.22•
#데이터로_보는_KBO_04 ⚾
안녕하세요, 크로와상입니다 👋
지난 시간에 포지션별 타율 분포로 점 그래프를 그려봤었는데, 기억나시나요?
(기억이 안나신다면, 한 번 보고 오세요 👀)
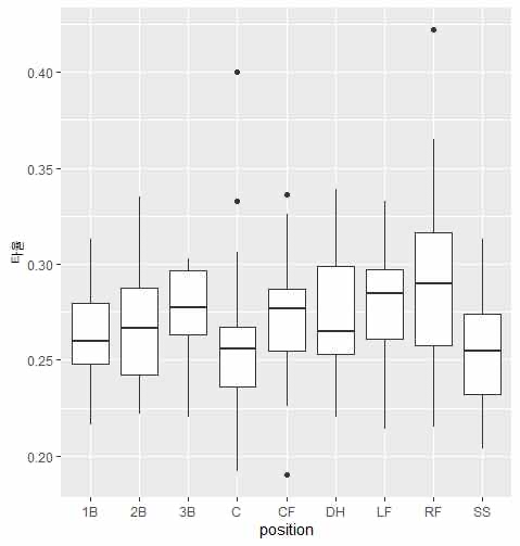
점 그래프는 원하는 데이터에 대한 분포를 한 눈에 볼 수 있지만, 최소/최댓값이나 평균값 같은 통계적 특성을 확인하기가 힘든데요 !
이럴 때, 사용하면 좋은 게 바로 박스플롯(상자-수염 그래프)입니다 🤗
💡박스플롯이란?
중앙값, 사분위수와 두 극단값(최댓값, 최솟값)을 시각화하여 자료의 특성을 한 눈에 볼 수 있게 하는 분석 시각화 도구
👍3
2
답글 2
크로와상 님에게 도움과 영감을 주는 답글을 남겨보세요